Elon Musks Starlink

You are on your way to the summerhouse with the Starlink internet kit in the trunk and the kids sitting in the back of the car are extremely serious when they ask this question, how fast is the internet connection dad? Suddenly all eyes are on you. Before you can stop your wife she starts to google. Download speeds between 25 and 220 Mbps and upload speeds between 5 and 20 Mbps. Honey, doesn’t that sound a bit slow? Trying to change the topic you start talking about the beautiful green landscape and the great adventure you are heading towards - but there is no escaping the question about internet speed…so what is the answer ?

Picture from Constellation starlink - current positions (satellitemap.space) White dots are satellites and green dots are users

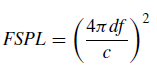
Commercial satellite internet for consumers had its beginning at 2003. Since 2014 companies such as SpaceX, Oneweb and Amazon went into the business and announced that they will use low earth orbit satellite constellations. What determines a reliable and fast satellite connection? Let’s look at the most important parameters. The free space path loss is the largest contributor in terms of signal loss and is defined by the formula below.

The distance (d) and frequency (f) are main contributors to the path loss[1]

The distance between the satellite and the terminal on the ground depends on the satellite’s altitude. A distance of 550 km between the transmitter and receiver results in an FSPL of approximately 170 dB when using a frequency of 13.5 GHz for the downlink. Atmospheric losses will also influence the link due to absorption or attenuation of the signal. This means that the satellite link also depends on the weather impacting with an additional loss of 5-10 dB[2]. Another important parameter is the mean per-user capacity. The capacity (speed of internet connection) depends on the number of users using the same satellite connection as you. So how many Starlink satellites are orbiting the Earth right now?

Graph from Constellation starlink - current positions (satellitemap.space) showing amount of satellites from Starlink

Ogutu B. Osoro and Edward J. Oughton[1] calculated the capacity based on 5040 Starlink satellites.

SE is the spectral efficiency, B is the available spectrum bandwidth, ch is the number of channels and kf the frequency reuse factor.

Based on the above equation the mean per-user capacity is found to be around 25 Mbps for one user every 10 km2. The capacity is scalable and can increase in the future with an increasing amount of satellites around the Earth.

Reference [1]: A Techno-Economic Framework for Satellite Networks Applied to Low Earth Orbit Constellations: Assessing Starlink OneWeb and Kuiper by Ogutu B. Osoro and Edward J. Oughton

Reference[2]: Estimation of the Starlink Global Satellite System Capacity by Denys Rozenvasser and Kateryna Shulakova

So what does this mean for the family on their way to the summerhouse? If the summerhouse is located in a rural area with a limited amount of Starlink users the family should be able to survive and maybe even thrive with the internet speed. If the family isn’t satisfied I would encourage them to have a break from the screen and take a walk to enjoy the fresh air and beautiful nature :-)

Previous
Previous

Autonomous driving by the use of radio waves